Hướng dẫn soạn thảo công thức toán học với Latex ( phần 1 )
Hướng dẫn soạn thảo công thức toán học với Latex ( phần 1 )
1, Mathzone
Khi bạn ở trong Math Zone, nội dung sẽ được hiển thị theo các quy tắc định dạng đặc biệt dành riêng cho toán học.
Ví dụ:
-
Các biến số sẽ được in nghiêng để dễ phân biệt với văn bản thông thường.
-
Khoảng cách giữa các ký hiệu như dấu cộng, trừ, bằng… được tự động căn chỉnh hợp lý để công thức trông rõ ràng hơn.
-
Khoảng trắng sẽ bị bỏ qua, nên bạn không cần (và không thể) thêm thủ công bằng dấu cách.
Trong Math Zone, LaTeX cũng tự động điều chỉnh kích thước và bố cục của các phần tử toán học dựa vào ngữ cảnh sử dụng.
Ví dụ, chỉ số trên (superscript) và chỉ số dưới (subscript) sẽ tự động dùng cỡ chữ nhỏ hơn, chẳng hạn:
Bên trong Mathzone, Math Style mặc định:
-
Kích thước phông chữ dùng cho công thức
- Cách bố trí các phần tử đặc biệt, ví dụ như vị trí giới hạn (limits) trong tổng ∑\sum∑ hoặc tích phân ∫\int∫
Nếu bạn muốn thay đổi kiểu hiển thị mặc định, có thể dùng các lệnh Math Style sau:
| Math Style | Công dụng | Ví dụ minh họa |
|---|---|---|
\displaystyle |
Dùng cho công thức hiển thị riêng trong một dòng hoặc đoạn riêng biệt | \displaystyle \sum_{i=0}^n \frac{a_i}{1+x} → |
\textstyle |
Dùng cho công thức toán nằm trong dòng văn bản | \textstyle \sum_{i=0}^n \frac{a_i}{1+x} → |
\scriptstyle |
Dùng cho chỉ số trên hoặc chỉ số dưới | \scriptstyle \sum_{i=0}^n \frac{a_i}{1+x} → |
\scriptscriptstyle |
Dùng cho chỉ số của chỉ số | \scriptscriptstyle \sum_{i=0}^n \frac{a_i}{1+x} → |
| |
2, Textzone
\text{} hoặc \textrm{} để chuyển sang Text Zone.Trong Text Zone, các khoảng trắng sẽ được giữ nguyên, và khoảng cách giữa các ký tự sẽ không bị LaTeX tự động điều chỉnh như trong Mathzone.
Ví dụ:
Lệnh \text{} sẽ sử dụng phông chữ được xác định bởi thuộc tính CSS font-family của mathfield .
Lệnh \textrm{} hoạt động tương tự như \text{}, nhưng nó sẽ sử dụng phông chữ Serif
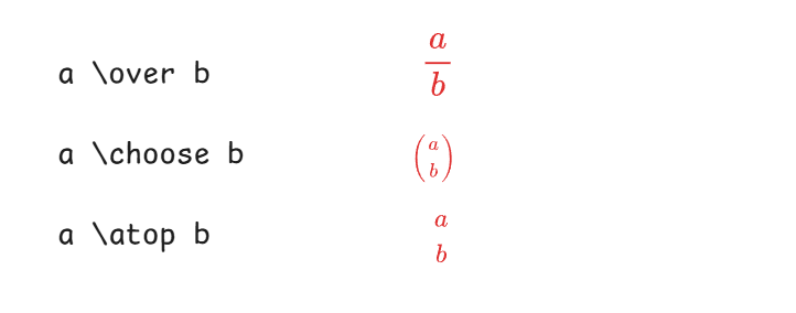
3, Fractions and Binomials
Đối số đầu tiên là tử số, và đối số thứ hai là mẫu số.
Kích thước của phân số sẽ tự động điều chỉnh theo Mathzone (gồm: display, text, script, scriptscript).
Các lệnh \dfrac và \tfrac được dùng để ép kiểu hiển thị của phân số:
-
\dfrac: hiển thị theo kiểu display
-
\tfrac: hiển thị theo kiểu text
Lệnh \cfrac có một đối số tùy chọn là [l] hoặc [r], dùng để căn lề tử số về bên trái hoặc bên phải:
Ví dụ:
Lệnh \binom được dùng để biểu diễn hệ số nhị thức (binomial coefficient).
Các lệnh \dbinom và \tbinom được dùng để ép kiểu hiển thị của biểu thức:
-
\dbinom: hiển thị theo kiểu display
-
\tbinom: hiển thị theo kiểu text
Các lệnh sau đây vẫn được hỗ trợ, nhưng không được khuyến khích sử dụng khi soạn nội dung LaTeX:
Tìm hiểu thêm các phần khác:
Phần 1: Mathzone, Textzone trong LaTex
Phần 2: Toán, Hàm số, Lượng giác
Phần 3: Toán Tử
Phần 4: Mũi tên
Phần 5: Dấu mũ
Phần 6: Các phép so sánh
Phần 7: Các tập hợp số
Phần 8: Các kí tự thường gặp
Phần 9: Dấu ngoặc
Phần 10: Dấu câu và các hình
Phần 11: Chữ cái Hy Lạp
Phần 12: Công Thức Vật Lý và Hoá Học
Về VFiMeet



